*仅供医学专科东谈主士阅读参考
生存方式烦闷迎来新打破。
整理丨Nina
❖重点一览:
• 瑞金团队:医学监督下的短期5:2能量限定饮食可显耀改善把握、体要素和心血管代谢方针。
• 使用褪黑素调整失眠,与2型糖尿病或疾病发生风险无关。
• 食物包装中的有毒化学物资对内分泌、代谢影响显明,与肥美、糖尿病等疾病关系。
吃对、动对,生存方式确实能缓解糖尿病!
“管住嘴,迈开腿”的标语喊了十几年,确凿约略通过生存方式来杀青2型糖尿病(T2DM)缓解的患者又有若干呢?——很缺憾,于今为止,这个数据还不太明确。原因在于生存方式烦闷很难严格现实,关于前瞻性部队议论来说,在议论筹算方面就依然靠近挑战。现存的议论大大批是小样本的患者部队,但鉴于T2DM患者数目广大,小样本数据难以代表通盘这个词患者群体。近期,瑞金病院王卫庆老师团队发表在内分泌限制顶刊——Diabetes Care的议论[1],同期打破了这两个议论筹算窘境。

这项议论是一项双中心、敞开标签、三臂、平行组筹算的立时对照临床试验,共招募了326名患有超重/肥美和2型糖尿病的参与者(这在生存烦闷的立时对照试验中,依然是较为广大的样本了)。入组患者被立时候拨到饮食烦闷(n=109)、通顺烦闷(n=108),或生存方式栽培(对照,n=109)组。3组患者对应的烦闷阵势如下:
朝上滑动检察
• 饮食烦闷:12周的5:2饮食,即每周2天限定能量摄入为790千卡(使用愚顽量配方饮食,能量起首分拨为卵白质25%、碳水化合物55%、脂肪20%),其余5天平日饮食。养分师通过电话或微信每周评估驯顺性,并与参与者规划改造揣摸,每月进行面对面栽培。除配方饮食外食用其他食物被界说为驯顺性较差。
• 通顺烦闷:通顺烦闷组在保健中心完成12周的每周两次(大大批为非集合日)监督通顺,包括4分钟高强度间歇老师(HIIT,达到研讨最大心率的85%~90%)以及4个基于器械的抗阻老师(每个动作两组8~12次,达到1次最大叠加次数的80%)。完成HIIT和抗阻老师分辩达到研讨最大心率的85%和1次最大叠加次数的80%的患者被界说为投降通顺烦闷条约。在2019年冠状病毒(COVID-19)大流行时期,分拨到通顺烦闷的参与者在家中完成HIIT或RT会话,包括自行车测力计、跑步机或原地跑步和无竖立的力量老师,通过医师的及时音频或视频会议进行监督。
• 生存方式栽培:通盘烦闷和对照组均由对立时化不知情的医师进行老例生存方式栽培,包括阐明《中国2型糖尿病驻防和调整指南》提供的健康饮食和通顺指令。医师通过电话或微信每周向参与者提供生存方式忽视,同期每月进行面对面栽培。
• 12周烦闷时期,除非出现某些情况,不然条件参与者保握药物类型、剂量或频率不变。
议论成果清楚:
朝上滑动检察
• 饮食烦闷组糖化血红卵白(HbA1c)有所改善。此外,饮食烦闷组体重、体脂肪、肝脏脂肪、舒张压均有所改善,血液中的胆固醇(HDL-C,频繁被称为“好胆固醇”)含量高潮。
• 通顺烦闷组HbA1c和HDL-C改善不显明,但去脂体重(LBM)显耀加多,体脂肪、肝脏脂肪、舒张压均有所改善。

图2:议论成果概述
• T2DM缓解被界说为“HbA1c<6.5%+停用降糖药物”,议论成果清楚,在饮食烦闷组有近20%的患者杀青了疾病缓解(OR 3.60, 95%CI 1.40~9.25,P=0.008)。通顺烦闷组和健康栽培组分辩有11.83%和10.48%的患者杀青了T2DM缓解。

空洞议论成果不错得出论断: 在严格医学监督下进行的5:2能量限定饮食可有用杀青T2DM缓解,比较单纯的患者栽培愈加有用!
从议论筹算上不丢脸出,“严格医学监督”打破了以往生存方式烦闷试验的困局,将生存方式烦闷量化为具体的、可监测的医学方针,何况让患者在医师的匡助和监督下完成。这一筹算也雅致切合当下的“养分门诊”“通顺门诊”开设趋势。这也意味着,在医师的专科匡助下,通过对生存方式的轻细编削,T2DM缓解并非不行杀青!
律例使用褪黑素或有助于改善夜班东谈主群的心血管风险
褪黑素是失眠调整的常用药物,其永久对腹黑代谢的影响尚不解确。近日一项基于三个大型好意思国部队进行的回归性分析探讨了褪黑素与T2DM以及心血管疾病发生风险之间的关系。议论 [2] 发表在柳叶刀子刊—— The Lancet Diabetes & Endocrinology 上。

议论包括来自好意思国的三个部队:照管健康议论(仅限女性)、健康专科东谈主员随访议论(仅限男性)和照管健康议论II(仅限女性)。纳入圭臬为基线时无癌症会诊、女性年齿在25-55岁之间、男性在45-75岁之间,且对褪黑素补充剂使用情况(是或否)作出回复的个体。主要摈斥了基线时存在的心血管疾病和2型糖尿病。主要成果是心血管疾病和2型糖尿病的发病率。在次要分析中,通过分层照管健康议论和照管健康议论II中交替夜班使命的技巧,来锻真金不怕火褪黑素补充剂使用与交替夜班使命之间的关系是否存在各异。
议论成果清楚:
朝上滑动检察
• 往时几十年,好意思国东谈主中褪黑素补充剂的使用率翻了一番,从1998~2007年的不到2%加多到2014~2015年的4%以上(男性4.0%,女性5.3%)。
• 在2,609,068东谈主年的随访时期记载了16,917例心血管疾病事件,在2,701,830东谈主年的随访时期记载了12,730例2型糖尿病事件。
• 在对三个部队进行汇总分析时,比较不使用褪黑素的东谈主群,不管是否使用褪黑素,参与者的心血管疾病的风险(HR=0.94,95%CI=0.84~1.07,P=0.35)和T2DM风险(HR=0.98,95%CI=0.86~1.12,P=0.80)均无显耀各异。
• 在夜班(倒班)东谈主群中,律例使用褪黑素的参与者心血管疾病风险缩小了38%(HR=0.62,95%CI=0.39~0.97,P=0.036)。
这项议论成果标明:褪黑素使用与T2DM以及心血管风险无关,且律例使用褪黑素或有助于改善夜班东谈主群的心血管风险。
食物塑料包装,是时候该远隔了!
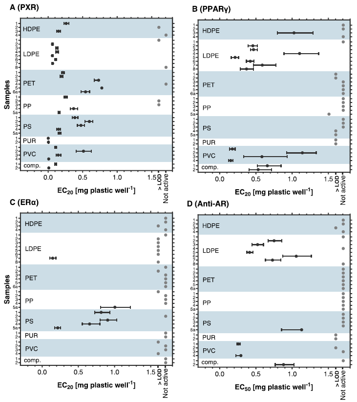
这年初,谁能一年365天不吃外卖,不喝瓶装水呢? 是以,险些莫得东谈主约略逃离塑料包装的利用。 连年来,塑料食物包装的危害依然取得了鄙俚的规划和蔼然,但很少有议论具体形色到底是哪些物资对东谈主体无益,以及它们对东谈主体的毁伤何如。 近期,有议论者在 Environmental Science & Technology 期刊上发表了一项议论,探讨塑料包装中的无益物资种类 [3] 。

Environmental Science & Technology
本议论对来自五个国度的36种塑料食物战役著述进行了化学分析,通过非靶向高分辨率质谱和针对四个核受体的叙述基因分析,议论发现塑料包装中广博存在多种对东谈主体存在危害的化学物资,主要有:激活孕烷X受体(PXR)、过氧化物酶体增殖激活受体γ(PPARγ)、雌激素受体α(ERα)以及箝制雄激素受体(AR)的化学物资。

议论东谈主员合计,战役这些干扰激素的化学物资与包括肥美、糖尿病、生养智商下落和特定种类癌症关联,且儿童至极容易受到影响。他们敕令简化塑料包装中的化合物筹算,以缩小食物包装对健康的危害。现在,塑料食物包装对健康的危害仍是一个新兴限制,期待畴昔约略有议论更深度地规划塑料食物包装中的无益物资是何如影响东谈主体健康的,也期待约略有行业圭臬出炉,缩小这些无益化合物对东谈主体的影响。
参考文件
[1] Li M, Li J, Xu Y, et al. Effect of 5:2 Regimens: Energy-Restricted Diet or Low-Volume High-Intensity Interval Training Combined With Resistance Exercise on Glycemic Control and Cardiometabolic Health in Adults With Overweight/Obesity and Type 2 Diabetes-A Three-Arm Randomized Controlled Trial. Diabetes Care. Published online April 18, 2024.
[2] Li Y, Huang T, Redline S, et al. Use of melatonin supplements and risk of type 2 diabetes and cardiovascular diseases in the USA: insights from three prospective cohort studies. Lancet Diabetes Endocrinol. Published online May 3, 2024.
[3] Stevens, S., McPartland, M., Bartosova, Z., Skåland, H. S., Völker, J., & Wagner, M. (2024). Plastic Food Packaging from Five Countries Contains Endocrine- and Metabolism-Disrupting Chemicals. Environmental science & technology, 58(11), 4859–4871.
牵扯剪辑丨蕾蕾
*\"医学界\"努力所发表本色专科、可靠,但不合本色的准确性作念出同意;请关系各方在袭取或以此行为决议依据时另行核查。
